新聞中心
政策法規
關于浙江省紡織染整工業大氣污染物排放標準要求
由浙江省環保廳印發的浙江省地方標準《紡織染整工業大氣污染物排放標準》(以下簡稱“標準”)。標準對紡織染整行業大氣污染物排放特別是VOCs排放做了具體的規定。
?
那么,對大氣污染物排放控制有哪些要求?如下:
?
一、 大氣污染物排放限值
?
(1)自2015年9月1日起至2016年8月31日止,現有企業執行表1規定的現有企業大氣污染物排放限值;自2016年9月1日起,現有企業執行表1規定的新建企業大氣污染物排放限值。
?
(2)自2015年4月1日起,新建企業執行表1規定的新建企業大氣污染物排放限值。
?
(3)根據環境保護工作的要求,在國土開發密度較高,環境承載能力開始減弱,或大氣環境容量小、生態環境脆弱,容易發生嚴重大氣環境污染問題而需要嚴格控制大氣污染物排放的地區,應嚴格控制污染物的排放。在上述地區的企業應執行表1中的特別排放限值。執行特別排放限值的時間和地域范圍由省級環境保護行政主管部門或設區市人民政府規定。

?
(4)生產設施應采取合理的措施,不得稀釋排放。在國家未規定生產設施單位產品基準排氣量之前,以實測濃度作為判定大氣污染物排放是否達標的依據。
?
二、無組織排放控制要求
?
(1)紡織染整企業在燒毛、涂層、干燥、定型、烘干、拉絨、磨毛等過程應加強廢氣收集,減少廢氣無組織排放。
?
(2)自本標準實施之日起,紡織染整企業大氣污染物無組織排放監控點濃度限值應符合表2規定。

?
三、大氣污染控制設備要求
?
(1)產生大氣污染物的生產工藝和裝置應設立局部或整體氣體收集系統和凈化處理裝置,達標后排放;重點廢氣排放源(如定型、涂層、高溫焙烘、拉絨、磨毛等過程)產生廢氣必須全部收集和處理。
?
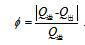
(2)廢氣處理設施進口和出口之間的標準狀態下總干風量變化率不得超過5%,總干風量變化率按式(1)計算。

? ? ? ? ? ? ? ? ? ? ? ? ? ? ? ? ? ? ? ? ?...........(1)
式中:
Q進——廢氣處理設施進口總干風量,Nm3/h;
Q出——廢氣處理設施出口總干風量,Nm3/h;
Φ——廢氣處理設施進出口總干風量變化率,%。
?
(3)新建企業自2015年4月1日起,應在廢氣處理設施的進口設置采樣孔,并同時實施總干風量變化率控制;現有企業自2015年9月1日起,應在廢氣處理設施的進口設置采樣孔,并同時實施總干風量變化率控制。
?
(4)企業內部廢水處理設施重點惡臭污染物排放工藝單元應設置廢氣收集處理設施。
?
(5)所有排氣筒高度應不低于15m。排氣筒周圍半徑200m范圍內有建筑物時,排氣筒高度還應高出最高建筑物3m以上。
來源:浙江省環保廳
